Aulas de matemática e raciocínio lógico

Curso gratuito de matemática para provas e concursos. Diariamente, uma nova aula será postada! Deixe sua sugestão nos comentários da última aula!

domingo, 4 de novembro de 2012

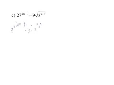
Equações Exponenciais Simples - Lista 01


Postado por Alberto Dell'Isola às 16:59
Enviar por e-mailPostar no blog!Compartilhar no XCompartilhar no FacebookCompartilhar com o Pinterest

Nenhum comentário:

Postar um comentário

Postagem mais recente Postagem mais antiga Página inicial
Assinar: Postar comentários (Atom)
Related Posts Plugin for WordPress, Blogger...

Escolha o tema das próximas aulas!

Arquivo do blog

  • ►  2013 (9)
    • ►  março (1)
    • ►  fevereiro (2)
    • ►  janeiro (6)
  • ▼  2012 (10)
    • ►  dezembro (2)
    • ▼  novembro (5)
      • Envie suas questões/provas
      • Resolução da prova dos Correios 2011
      • Funçao quadrática - Problemas de vértice - Lista 01
      • Porcentagem (misturas) - Lista 01
      • Equações Exponenciais Simples - Lista 01
    • ►  março (2)
    • ►  fevereiro (1)
Tema Simples. Tecnologia do Blogger.